Lithologic Reservoirs ›› 2026, Vol. 38 ›› Issue (1): 26-37.doi: 10.12108/yxyqc.20260103

• PETROLEUM EXPLORATION • Previous Articles     Next Articles

Reservoir formation condition and favorable areas optimization of coalbed methane of Jurassic Yaojie Formation in Yaojie mining area, Minhe Basin

MA Daibing1(), MA Wentao1(), HAN Wenyuan1, CHEN Shangbin2, GUO Xingxing1   

  1. 1 Team 149Gansu Coalfield Geology Bureau, Lanzhou 730020, China
    2 School of Resources and Geosciences, China University of Mining and Technology, Xuzhou 221116, Jiangsu, China
  • Received:2025-06-03 Revised:2025-08-20 Online:2026-01-01 Published:2026-01-23
  • Contact: MA Wentao E-mail:1693681390@qq.com;mwt2359@163.com

Abstract:

Yaojie mining area in Minhe Basin has good exploration potential for coalbed methane. Using drilling, logging, and experimental testing data, the distribution and hydrocarbon generation capacity of coal seams in Yaojie mining area of Minhe Basin were systematically analyzed, and the coalbed methane accumulation condition and accumulation models of Jurassic No. 2 coal seam were clarified, and favorable areas were predicted. The results show that: (1) Yaojie mining area in Minhe Basin has been transformed by multi-stage tectonic movements, forming a coal-controlled fault of “first reverse and then positive”.The sedimentary facies are mainly river-swamp-lacustrine facies, No. 2 coal seam is distributed in a “thick in the east and thin in the west” belt shape and belongs to medium-stage fat coal, with longitudinal thermal evolution degree and vitrinite increa-sing with the increase of burial depth. The coal rock is dominated by semi-dark to semi-bright primary structural coal, with relatively developed pores but poor permeability. (2) The total mass volume of gas in the air-dried basis of No. 2 coal seam in the study area is 6.10-8.78 cm3/g, with an average of 7.53 cm3/g. The mass volume of methane is 1.18-6.72 cm3/g, with an average of 4.46 cm3/g. The gas component is dominated by CH4, CO2 and N2. Vertically, the proportion of CH4 increases as the burial depth increases and temperature-pressure rises. Horizontally, methane content shows a distribution pattern of high-values in the middle (Haishiwan syncline axis) and decreasing towards the north and south. (3) In the study area, the thickness of No. 2 coal seam is relatively large, mostly greater than 10 m, and No. 2 coal seam has a high degree of thermal evolution (Ro up to 1.12%), providing material foundation for coalbed methane enrichment. Vertically, increased vitrinite content and decreased ash content optimize storage conditions. Carbonaceous mudstone/mudstone roof/bed plates, sealed water bodies, boundary fault zones, and Haishiwan syncline jointly ensure the accumulation of coalbed methane. The areas with high thermal evolution degree, sufficient gas source, proximity to syncline core and far away from faults are geological class Ⅰ “sweet spot” zones.

Key words: coalbed methane, middle-low coal rank, thermal evolution degree, syncline core, Yaojie Formation, Jurassic, Yaojie mining area, Minhe Basin

CLC Number: 

  • TE122.2

Fig. 1

Structural location of Yaojie mining area (a), comprehensive stratigraphic column of Jurassic Yaojie Formation (b), and north-south trending cross-section of Yaojie mining area(c), Minhe Basin"

Table 1

Basic parameters of Jurassic Yaojie Formation coal seam, Yaojie mining area, Minhe Basin"

编号 厚度/m 结构 稳定
程度
开采
程度
可采
面积/km2
煤1层 0~0.5/(0.5) 较简单 较稳定 大部分开采 7.1
煤2层 0.8~67.6/(22.2) 较简单 较稳定 大部分可采 30.2
煤3层 0~8.2/(0.9) 较简单 较稳定 局部可采 1.7

Fig. 2

Distribution of thickness (a) and burial depth (b) of Jurassic Yaojie Formation coal seam in Yaojie mining area, Minhe Basin"

Table 2

Microscopic components of Jurassic Yaojie Formation coal seam in Yaojie mining area, Minhe Basin"

煤矿与
勘查区
井名 ϕ(镜质组)/
%
ϕ(惰质组)/
%
ϕ(壳质组)/
%
ϕ(黏土)/
%
ϕ(硫化物矿物)/% ϕ(碳酸盐矿物)/% ϕ(氧化硅类矿物)/% Ro max/%
金河
煤矿
1002 40.80 42.90 2.00 4.50 0.10 3.40 1.00 0.79
802 34.40 46.40 3.30 0.50 0 8.20 1.20 0.69
803 38.00 39.80 3.40 6.50 0.10 2.70 1.00 0.83
804 38.50 51.70 0.50 0.40 0 3.90 0.10 0.90
验补145 43.50 35.60 2.40 5.70 0.30 0.50 2.00 0.79
902 34.50 45.50 1.10 3.50 0.10 5.80 4.90 0.86
平均值 43.77 40.47 1.81 3.14 0.15 3.59 1.70 0.81
海石湾
煤矿
HSW01-2V 68.62 26.96 4.42 5.08 0.20 1.02 4.27 0.95
HSW06-3V 62.73 35.35 2.60 2.15 0.20 0.97 11.70 0.97
702 25.70 56.30 3.70 1.30 0 4.00 0.80 0.90
703 33.00 47.80 2.50 3.00 0.10 3.70 0.50 0.90
704 32.60 45.00 2.10 3.00 0 6.60 0.90 0.87
y42 35.70 45.90 3.40 1.20 0 3.30 2.30 0.88
y51 49.00 33.30 2.50 4.30 0.10 2.20 2.80 0.78
平均值 43.91 41.52 3.03 2.86 0.15 3.11 3.32 0.89
韩家户沟
马家台
勘查区
h001 40.03 48.80 4.33 3.13 0.15 2.63 0.95 0.96
H003 48.45 42.28 2.30 3.50 0.65 3.75 1.45 0.97
h005 37.18 49.69 4.30 4.72 0.22 2.91 1.04 0.99
h305 53.75 41.99 4.27 3.30 0.65 2.99 0.93 0.98
平均值 44.85 45.69 3.80 3.66 0.42 3.07 1.09 0.97

Fig. 3

Distribution characteristics of maximum vitrinite reflectance (a) and its correlation with depth (b) of Jurassic Yaojie Formation coal rock, Yaojie mining area, Minhe Basin"

Fig. 4

Organic matter types of coal rock of Jurassic Yaojie Formation, Yaojie mining area, Minhe Basin"

Fig. 5

Scanning electron microscope images of Jurassic Yaojie Formation coal rock in Yaojie mining area, Minhe Basin"

Table 3

Microscopic fracture parameters of Jurassic Yaojie Formation coal rock in Yaojie mining area, Minhe Basin"

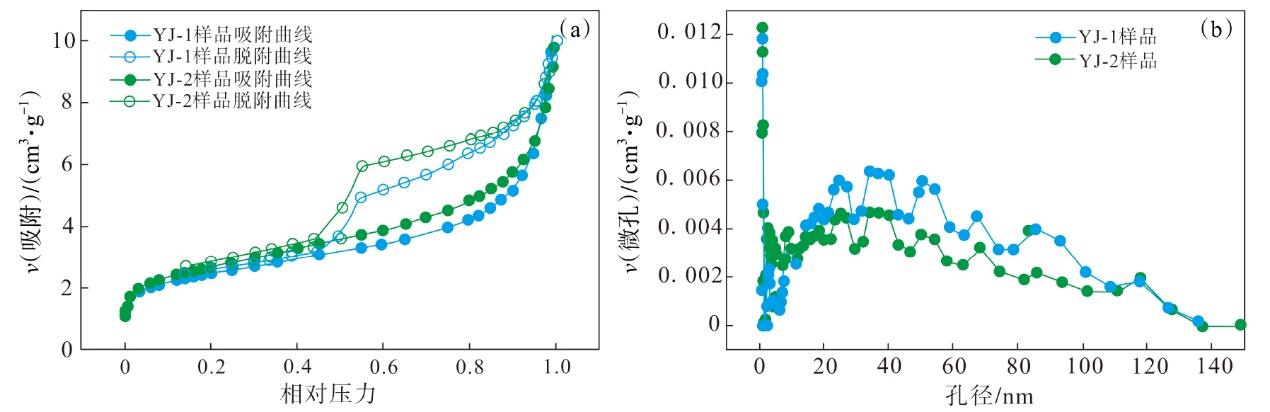
Fig. 6

N2 adsorption/desorption curves (a) and DFT model pore size distribution curves (b) of Jurassic Yaojie Formation coal rock in Yaojie mining area, Minhe Basin"

Table 4

Gas composition of No. 2 coal seam in Jurassic Yaojie Formation, Yaojie mining area, Minhe Basin"

煤矿与
勘查区
主要
参数
ϕ(煤层气成分)/% v(CH4)/
(cm3·g-1
CH4 CO2 N2 C2—C4
金河
煤矿
最大值 18.58 90.89 1.26 4.16 1.32
最小值 0.48 43.56 52.86 0 0.05
平均值 8.21 74.33 15.22 2.22 0.15
海石湾
煤矿
最大值 68.79 90.67 27.91 13.08 6.22
最小值 3.76 18.71 2.32 0 0.17
平均值 23.92 61.43 10.20 7.13 2.62
韩家
户沟
马家台
勘查区
最大值 43.15 24.70 53.58 11.08 2.05
最小值 22.60 10.03 24.73 4.51 0.18
平均值 32.10 17.77 42.10 8.03 1.15

Fig. 7

Distribution characteristics of methane content (a), isothermal adsorption curves of parameter wells (b), and variation of gas composition with depth (c) of coal rock of No. 2 coal seam in Jurassic Yaojie Formation, Yaojie mining area, Minhe Basin"

Fig. 8

Correlation of seam thickness and maximum vitrinite reflectance with methane content of No. 2 coal seam in Jurassic Yaojie Formation, Yaojie mining area, Minhe Basin"

Fig. 9

Burial history of Jurassic Yaojie Formation coal rock in well Bacan 1, Minhe Basin"

Fig. 10

Pore volume distribution of different aperture of Jurassic Yaojie Formation coal rock in Yaojie mining area, Minhe Basin"

Fig. 11

Correlation of methane content with vitrinite content (a) and ash content (b) of Jurassic Yaojie Formation coal rock, Yaojie mining area, Minhe Basin"

Fig. 12

Well-tie section of coal seams in Jurassic Yaojie Formation, Yaojie mining area, Minhe Basin"

Fig. 13

Schematic diagram of fracture structure composition of ductile shear band in Yaojie mining area, Minhe Basin"

Table 5

Main ions concentration of formation water of No. 2 coal seam in Jurassic Yaojie Formation, Yaojie mining area, Minhe Basin"

Fig. 14

Accumulation models of coalbed methane in Jurassic Yaojie Formation, Yaojie mining area, Minhe Basin"

Table 6

Comprehensive evaluation for favorable areas of coalbed methane of Jurassic Yaojie Formation, Yaojie mining area, Minhe Basin"

指标 参数 Ⅰ类有利区 Ⅱ类有利区 Ⅲ类有利区
生气
条件
煤层厚度/m > 15 5~15 < 5
煤岩成熟度Ro max/% > 0.8 0.6~0.8 < 0.6
储层
条件
孔隙度/% > 7 5~7 < 5
渗透率/mD > 0.02 0.01~0.02 < 0.01
煤岩埋深/m > 900 600~900 < 600
割理/裂隙 不发育 少量发育 极发育
保存
条件
水文地质条件 水动力较弱 水动力较强 水动力强
顶、底部岩性 泥岩 粉砂岩 细砂岩
构造 向斜轴部 斜坡带 断层附近
含气量
与产气
条件
v(含气)/(cm3·g-1) > 4 2~4 < 2
气井产能/m3 > 1 500 500~1 500 < 500

Fig. 15

Distribution characteristics of geological “sweet spots” for coalbed methane in Jurassic Yaojie Formation, Yaojie area, Minhe Basin"

[1] 徐凤银, 侯伟, 熊先钺, 等. 中国煤层气产业现状与发展战略[J]. 石油勘探与开发, 2023, 50(4):669-682.
doi: 10.11698/PED.20220856
XU Fengyin, HOU Wei, XIONG Xianyue, et al. The status and development strategy of coalbed methane industry in China[J]. Petroleum Exploration and Development, 2023, 50(4):669-682.
[2] 苏朋辉, 夏朝辉, 刘玲莉, 等. 澳大利亚M区块低煤阶煤层气井产能主控因素及合理开发方式[J]. 岩性油气藏, 2019, 31(5):121-128.
doi: 10.12108/yxyqc.20190514
SU Penghui, XIA Zhaohui, LIU Lingli, et al. Main controlling factors of productivity and reasonable development methods of low-rank coalbed methane in block M of Australia[J]. Lithologic Reservoirs, 2019, 31(5):121-128.
doi: 10.12108/yxyqc.20190514
[3] 史仲武. 窑街煤田海石湾勘探区煤层内瓦斯研究[J]. 中国煤田地质, 1989, 1(3):18-23.
SHI Zhongwu. The research on coal seam gas in the Haishiwan exploration area of the Yaojie coal field[J]. Coal Geology of China, 1989, 1(3):18-23.
[4] 赫海全, 袁崇亮, 张玉生. 海石湾煤矿地应力分布特征研究[J]. 内蒙古煤炭经济, 2021, 37(16):1-4.
HE Haiquan, YUAN Chongliang, ZHANG Yusheng. Study on distribution characteristics of geostress in Haishiwan Coal Mine[J]. Inner Mongolia Coal Economy, 2021, 37(16):1-4.
[5] 付德亮, 秦建强, 田涛, 等. 民和盆地侏罗系煤系有机质阶段生气演化特征研究[R]. 重庆,陕西省煤炭学会学术年会暨第三届“绿色勘查科技论坛”, 2019.
FU Deliang, QIN Jianqiang, TIAN Tao, et al. Study on the evolution characteristics of organic matter in Jurassic coal measures in Minhe Basin[R]. Chongqing,Proceedings of the Annual Conference of Shaanxi Coal Society and the 3rd “Green Exploration Science and Technology Forum”, 2019.
[6] 李有东, 高小明, 沈建林. 窑街矿区CO2气体生储运特征研究[J]. 甘肃地质, 2014, 23(2):65-69.
LI Youdong, GAO Xiaoming, SHEN Jianlin. Study on generation,storage and transportation characteristics of CO2 gas in Yaojie mining area[J]. Gansu Geology, 2014, 23(2):65-69.
[7] 李伟. 海石湾井田CO2成藏演化机制及防治技术研究[D]. 徐州: 中国矿业大学, 2011.
LI Wei. Mechanism of CO2 pools formation and CO2 control technology of Haishiwan Coalfield[D]. Xuzhou: Journal of China University of Mining & Technology, 2011.
[8] 琚惠姣. 海石湾井田窑街组煤储层特征分析[J]. 煤炭技术, 2022, 41(6):79-81.
JU Huijiao. Coal reservoir characteristics analysis of Yaojie Formation in Haishiwan Coalfield[J]. Coal Technology, 2022, 41(6):79-81.
[9] 杜新锋, 袁崇亮, 王正喜, 等. 窑街矿区浅层煤系气储层特征及勘探开发关键技术[J]. 煤田地质与勘探, 2021, 49(6):58-66.
DU Xinfeng, YUAN Chongliang, WANG Zhengxi, et al. Cha-racteristics of shallow coal measure gas reservoir and key technologies of exploration and development in Yaojie mining area[J]. Coal Geology & Exploration, 2021, 49(6):58-66.
[10] 张成功, 许霞, 马代兵. 民和盆地窑街矿区窑街组页岩储层含气性及地化特征[J]. 中国煤炭地质, 2015, 27(12):29-32.
ZHANG Chenggong, XU Xia, MA Daibing. Yaojie Formation shale reservoir gas-bearing and geochemical characteristics in Yaojie mine area,Minhe Basin[J]. Coal Geology of China, 2015, 27(12):29-32.
[11] 孙泽源. 海石湾井田东部富CO2煤层气井产能差异及吸附热力学机制[D]. 焦作: 河南理工大学, 2022.
SUN Zeyuan. Difference of CO2 rich coalbed methane wells and adsorption thermodynamic mechanism in the east of Haishiwan Coalfield[D]. Jiaozuo: Henan Polytechnic University, 2022.
[12] 张虎权, 杨中轩. 民和盆地的构造特征[J]. 石油实验地质, 1996, 18(3):283-288.
ZHANG Huquan, YANG Zhongxuan. The structural characte-ristics of the Minhe Basin[J]. Petroleum Geology & Experiment. 1996, 18(3):283-288.
[13] 王春江, 王有孝, 罗斌杰, 等. 民和盆地中侏罗统煤-油页岩层系生油特征[J]. 沉积学报, 1997, 15(1):60-64.
WANG Chunjiang, WANG Youxiao, LUO Binjie, et al. Chara-cteristics of the oil formation in the Middle Jurassic coal-shale strata in Minhe Basin[J]. Acta Sedimentologica Sinica, 1997, 15(1):60-64.
[14] 陶明信, 陈发源, 徐永昌. 窑街F19断裂带地质构造特征与演化分析[J]. 中国煤田地质, 1995, 7(3):12-16.
TAO Mingxin, CHEN Fayuan, XU Yongchang. The evolution and structural characteristics of Yaojie F19 fracture zone[J]. Coal Geology of China, 1995, 7(3):12-16.
[15] 余琪祥, 罗宇, 段铁军, 等. 准噶尔盆地环东道海子凹陷侏罗系煤层气成藏条件及勘探方向[J]. 岩性油气藏, 2024, 36(6):45-55.
doi: 10.12108/yxyqc.20240605
YU Qixiang, LUO Yu, DUAN Tiejun, et al. Reservoir forming conditions and exploration prospect of Jurassic coalbed methane encircling Dongdaohaizi sag,Junggar Basin[J]. Lithologic Reservoirs, 2024, 36(6):45-55.
doi: 10.12108/yxyqc.20240605
[16] 李道清, 陈永波, 杨东, 等. 准噶尔盆地白家海凸起侏罗系西山窑组煤岩气“甜点”储层智能综合预测技术[J]. 岩性油气藏, 2024, 36(6):23-35.
doi: 10.12108/yxyqc.20240603
LI Daoqing, CHEN Yongbo, YANG Dong, et al. Intelligent comprehensive prediction technology of coalbed methane“sweet spot” reservoir of Jurassic Xishanyao Formation in Baijiahai uplift,Junggar Basin[J]. Lithologic Reservoirs, 2024, 36(6):23-35.
doi: 10.12108/yxyqc.20240603
[17] 高波, 马玉贞, 陶明信, 等. 煤层气富集高产的主控因素[J]. 沉积学报, 2003, 21(2):345-348.
GAO Bo, MA Yuzhen, TAO Mingxin, et al. Main controlling factors analysis of enrichment condition of coalbed methane[J]. Acta Sedimentologica Sinica, 2003, 21(2):345-348
[18] 王青, 田冲, 罗超, 等. 四川盆地遂宁—合江地区二叠系龙潭组煤岩气储层特征及勘探前景[J]. 岩性油气藏, 2025, 37(4):26-37.
doi: 10.12108/yxyqc.20250403
WANG Qing, TIAN Chong, LUO Chao, et al. Characteristics and exploration prospects of coal-rock gas reservoirs in Permian Longtan Formation in Suining-Hejiang area,Sichuan Basin[J]. Lithologic Reservoirs, 2025, 37(4):26-37.
doi: 10.12108/yxyqc.20250403
[19] 郭广山, 柳迎红, 王存武, 等. 基于煤层“三结构”的煤岩品质综合评价[J]. 中国海上油气, 2022, 34(2):35-41.
GUO Guangshan, LIU Yinghong, WANG Cunwu, et al. Comprehensive evaluation of coal rock quality based on “three structures”of coal seam[J]. China Offshore Oil and Gas, 2022, 34(2):35-41.
[20] 田继先, 石正灏, 李剑, 等. 柴达木盆地侏罗系煤岩气成藏条件与勘探潜力[J]. 岩性油气藏, 2025, 37(4):17-25.
doi: 10.12108/yxyqc.20250402
TIAN Jixian, SHI Zhenghao, LI Jian, et al. Reservoir formation conditions and exploration potential of Jurassic coal-rock gas in Qaidam Basin[J]. Lithologic Reservoirs, 2025, 37(4):17-25.
doi: 10.12108/yxyqc.20250402
[21] 孟召平, 刘珊珊, 王保玉, 等. 不同煤体结构煤的吸附性能及其孔隙结构特征[J]. 煤炭学报, 2015, 40(8):1865-1870.
MENG Zhaoping, LIU Shanshan, WANG Baoyu, et al. Adsorption capacity and its pore structure of coals with different coal body structure[J]. Journal of China Coal Society, 2015, 40(8):1865-1870.
[22] 李启晖, 任大忠, 甯波, 等. 鄂尔多斯盆地神木地区侏罗系延安组煤层微观孔隙结构特征[J]. 岩性油气藏, 2024, 36(2):76-88.
doi: 10.12108/yxyqc.20240208
LI Qihui, REN Dazhong, NING Bo, et al. Micro-pore structure characteristics of coal seams of Jurassic Yan’an Formation in Shenmu area,Ordos Basin[J]. Lithologic Reservoirs, 2024, 36(2):76-88.
doi: 10.12108/yxyqc.20240208
[23] 李勇, 曹代勇, 魏迎春, 等. 准噶尔盆地南缘中低煤阶煤层气富集成藏规律[J]. 石油学报, 2016, 37(12):1472-1482.
doi: 10.7623/syxb201612003
LI Yong, CAO Daiyong, WEI Yingchun, et al. Middle to low rank coalbed methane accumulation and reservoiring in the southern margin of Junggar Basin[J]. Acta Petrolei Sinica, 2016, 37(12):1472-1482.
doi: 10.7623/syxb201612003
[24] WANG Anmin, WEI Yingchun, YUAN Yuan, et al. Coalbed methane reservoirs’ pore-structure characterization of different macrolithotypes in the southern Junggar Basin of Northwest China[J]. Natural Gas Industry B, 2018, 5(3):675-688.
[25] SHAO Longyi, WANG Xuetian, WANG Dongdong, et al. Sequence stratigraphy, paleogeography,and coal accumulation regularity of major coal-accumulating periods in China[J]. International Journal of Coal Science & Technology, 2020, 7(2):240-262.
[26] 姚艳斌, 刘大锰, 汤达祯, 等. 沁水盆地煤储层微裂隙发育的煤岩学控制机理[J]. 中国矿业大学学报, 2010, 39(1):6-13.
YAO Yanbin, LIU Dameng, TANG Dazhen, et al. Influence and control of coal petrological composition on the development of microfracture of coal reservoir in the Qinshui Basin[J]. Journal of China University of Mining & Technology, 2010, 39(1):6-13.
[27] 陈刚, 秦勇, 胡宗全, 等. 准噶尔盆地白家海凸起深部含煤层气系统储层组合特征[J]. 煤炭学报, 2016, 41(1):80-86.
CHEN Gang, QIN Yong, HU Zongquan, et al. Characteristics of reservoir assemblage of deep CBM-bearing system in Baijiahai dome of Junggar Basin[J]. Journal of China Coal Society, 2016, 41(1):80-86.
[28] 许浩, 汤达祯. 基于煤层气产出的煤岩学控制机理研究进展[J]. 煤炭科学技术, 2016, 44(6):140-145.
XU Hao, TANG Dazhen. Research progress of control mechanism of coal petrology on CBM production[J]. Coal Science and Technology, 2016, 44(6):140-145.
[29] 强倩, 李爱荣, 欧明轩. 鄂尔多斯盆地寨科地区和双河地区长 2 油层组地层水特征及差异[J]. 地下水, 2022, 44(3):5-8.
QIANG Qian, LI Airong, OU Mingxuan. Formation water chara-cteristics and differences of Chang 2 oil formation in Zhaike area and Shuanghe area,Ordos Basin[J]. Ground Water, 2022, 44(3):5-8.
doi: 10.1111/gwat.2006.44.issue-1
[30] 朱志良, 高小明. 陇东煤田侏罗系煤层气成藏主控因素与模式[J]. 岩性油气藏, 2022, 34(1):86-94.
doi: 10.12108/yxyqc.20220109
ZHU Zhiliang, GAO Xiaoming. Main controlling factors and models of Jurassic coalbed methane accumulation in Longdong coalfield[J]. Lithologic Reservoirs, 2022, 34(1):86-94.
doi: 10.12108/yxyqc.20220109
[31] 全国煤炭标准化技术委员会(SAC/TC 42). 煤层气勘探开发选区地质评价方法:NB/T11145-2023[S]. 北京: 中国标准出版社, 2023.
National Coal Standardization Technical Committee (SAC/TC 42). Geologicalevaluationmethodsforcoalbedmethaneexplorationanddevelopmentareaselection:NB/T11145-2023[S]. Beijing: China Standard Press, 2023.
[1] MENG Yang, CAO Xiaopeng, ZHAO Hao, YANG Minglin, LI Zhipeng, TIAN Zhenlei, WU Hongcui, JIANG Yue. Development characteristics and main controlling factors of natural fractures of Jurassic Qigu Formation in Yongjin area, Junggar Basin [J]. Lithologic Reservoirs, 2026, 38(1): 13-25.
[2] YE Hui, ZHU Feng, WANG Guizhong, SHI Wanzhong, KANG Xiaoning, DONG Guoning, Naziyiman, WANG Ren. Paleogeomorphy restoration of Permian-Jurassic and its hydrocarbon implications in Junggar Basin,NW China [J]. Lithologic Reservoirs, 2025, 37(5): 122-132.
[3] TIAN Jixian, SHI Zhenghao, LI Jian, SHA Wei, JIANG Zhengwen, YANG Lei, YU Xue, PU Yongxia. Reservoir formation conditions and exploration potential of Jurassic coal-rock gas in Qaidam Basin [J]. Lithologic Reservoirs, 2025, 37(4): 17-25.
[4] HE Xiaolong, ZHANG Bing, XU Chuan, XIAO Bin, TIAN Yunying, LI Zhuo, HE Yifan. Characteristics of calcareous interlayer in narrow channel sand body and their influence on reservoir quality:A case study of the first member of Jurassic Shaximiao Formation in Zitong area,northwestern Sichuan Basin [J]. Lithologic Reservoirs, 2025, 37(3): 129-139.
[5] WU Guanhua, LIU Hong, SONG Linke, ZENG Qi, YANG Tao. The deposition characteristics and favorable reservoir prediction of Jurassic Shaximiao Formation in Dongguachang area, southwestern Sichuan Basin [J]. Lithologic Reservoirs, 2025, 37(2): 92-102.
[6] HU Xin, ZHU Xiaomin, JIN Xuling, HUANG Cheng, ZHOU Yue, CHENG Changling, XIU Jinlei, REN Xincheng. Sedimentary characteristics of the shallow-water braided river delta of Jurassic Qigu Formation in Yongjin area, Junggar Basin [J]. Lithologic Reservoirs, 2025, 37(2): 115-126.
[7] HE Yan, XU Weina, DANG Sisi, MOU Lei, LIN Shaoling, LEI Zhangshu. Genesis and exploration significance of calcareous intercalation of Jurassic Xishanyao Formation in Luliang area,Junggar Basin [J]. Lithologic Reservoirs, 2025, 37(1): 90-101.
[8] LI Daoqing, CHEN Yongbo, YANG Dong, LI Xiao, SU Hang, ZHOU Junfeng, QIU Tingcong, SHI Xiaoqian. Intelligent comprehensive prediction technology of coalbed methane “sweet spot”reservoir of Jurassic Xishanyao Formation in Baijiahai uplift,Junggar Basin [J]. Lithologic Reservoirs, 2024, 36(6): 23-35.
[9] ZHANG Peijun, XIE Mingxian, LUO Min, ZHANG Liangjie, CHEN Renjin, ZHANG Wenqi, YUE Xingfu, LEI Ming. Analysis of deformation mechanism of ultra thick gypsum salt rock and its significance for oil and gas reservoir formation:A case study of the Jurassic gypsum salt layers in theAgayry region,eastern right bank of theAmu Darya River [J]. Lithologic Reservoirs, 2024, 36(6): 36-44.
[10] YU Qixiang, LUO Yu, DUAN Tiejun, LI Yong, SONG Zaichao, WEI Qingliang. Reservoir forming conditions and exploration prospect of Jurassic coalbed methane encircling Dongdaohaizi sag,Junggar Basin [J]. Lithologic Reservoirs, 2024, 36(6): 45-55.
[11] ZHANG Tianze, WANG Hongjun, ZHANG Liangjie, ZHANG Wenqi, XIE Mingxian, LEI Ming, GUO Qiang, ZHANG Xuerui. Application of ray-path elastic impedance inversion in carbonate gas reservoir prediction of the right bank of Amu Darya River [J]. Lithologic Reservoirs, 2024, 36(6): 56-65.
[12] GOU Honguang, LIN Tong, FANG Qiang, ZHANG Hua, LI Shan, CHENG Yi, You Fan. Stratigraphic division of astronomical cycle in early-middle Jurassic Shuixigou Group in the Shengbei subsag of Tuha Basin [J]. Lithologic Reservoirs, 2024, 36(6): 89-97.
[13] YAN Xueying, SANG Qin, JIANG Yuqiang, FANG Rui, ZHOU Yadong, LIU Xue, LI Shun, YUAN Yongliang. Main controlling factors for the high yield of tight oil in the Jurassic Da’anzhai Section in the western area of Gongshanmiao, Sichuan Basin [J]. Lithologic Reservoirs, 2024, 36(6): 98-109.
[14] QIAO Tong, LIU Chenglin, YANG Haibo, WANG Yifeng, LI Jian, TIAN Jixian, HAN Yang, ZHANG Jingkun. Characteristics and genetic mechanism of condensate oil and gas of the Jurassic Sangonghe Formation in western well Pen-1 sag,Junggar Basin [J]. Lithologic Reservoirs, 2024, 36(6): 169-180.
[15] KONG Lingfeng, XU Jiafang, LIU Ding. Pore structure characteristics and dehydration evolution of lignite reservoirs of Jurassic Xishanyao Formation in Santanghu Basin [J]. Lithologic Reservoirs, 2024, 36(5): 15-24.
Viewed
Full text


Abstract

Cited

  Shared   
  Discussed   
No Suggested Reading articles found!
TRENDMD: