岩性油气藏 ›› 2026, Vol. 38 ›› Issue (1): 146–161.doi: 10.12108/yxyqc.20260113

• 地质勘探 • 上一篇    

松辽盆地南部梨树断陷白垩系沙河子组古地貌特征及控砂机制

肖萌1(), 周勇2,3(), 王柯2,3, 闫璟驰2,3, 张粤杰2,3   

  1. 1 中国石油化工股份有限公司 东北油气分公司长春 130062
    2 中国石油大学(北京) 地球科学学院北京 102249
    3 中国石油大学(北京) 油气资源与工程全国重点实验室北京 102249
  • 收稿日期:2025-04-15 修回日期:2025-05-18 出版日期:2026-01-01 发布日期:2026-01-23
  • 第一作者:肖萌(1988—),男,副研究员,主要从事油气藏开发地质方面的研究工作。地址:(130062)吉林省长春市西安大路4936号。Email:271660443@qq.com
  • 通信作者: 周勇
  • 基金资助:
    国家自然科学基金项目“咸化湖盆盐类物质对深层致密储层成岩流体演化及差异成岩响应的作用机制研究”(42472178)

Paleogeomorphologic characteristics and sand control mechanisms of Cretaceous Shahezi Formation in Lishu fault depression, southern Songliao Basin

XIAO Meng1(), ZHOU Yong2,3(), WANG Ke2,3, YAN Jingchi2,3, ZHANG Yuejie2,3   

  1. 1 China Petroleum & Chemical Corporation Northeast Oil & Gas Branch, Changchun 130062, China
    2 College of GeosciencesChina University of Petroleum (Beijing), Beijing 102249, China
    3 State Key laboratory of Petroleum Resources and Engineering, China University of Petroleum (Beijing), Beijing 102249, China
  • Received:2025-04-15 Revised:2025-05-18 Online:2026-01-01 Published:2026-01-23
  • Contact: ZHOU Yong E-mail:271660443@qq.com;zhouyong@cup.edu.cn

摘要:

综合运用测录井资料及地震解释成果,对松辽盆地南部梨树断陷白垩系沙河子组同沉积断层的活动特征进行了分析,基于印模法对古地貌进行了恢复,并探讨了古地貌对沉积体系的控制作用。研究结果表明:①梨树断陷白垩系沙二段沉积时期的断层活动速率普遍高于沙一段沉积时期,且断层活动速率向北呈先增大后减小的趋势。②沙河子组沉积期,梨树断陷陡坡带主要发育近岸水下扇及深湖沉积体系,缓坡带主要发育扇三角洲及滨浅湖沉积体系。③研究区古地貌控制着沉积相及砂体的展布,识别出了沟谷、横向凸起(水下隆起)、走向斜坡、构造坡折带等4种古地貌类型,均对砂体的分布具有控制作用。沟谷可作为输砂通道,控制砂体从源区向沉积区推进,同时也可作为沉积卸载单元;发育于陡坡断崖边缘的横向凸起促使砂体呈扇形向盆内撒开;走向斜坡控制砂体的走向延伸,同沉积断层末端活动控制了砂体自源区向盆内扩散的路径;构造坡折带控制砂体向盆内搬运迁移及其富集位置,是寻找砂岩油气藏的有利区带。④研究区沙河子组沉积期具有“多源供给—断裂控渠—古地貌聚砂”的古地貌控砂模式。

关键词: 古地貌, 近岸水下扇, 扇三角洲, 断裂活动, 控砂机制, 沙河子组, 白垩系, 梨树断陷, 松辽盆地

Abstract:

By comprehensively utilizing well logging and seismic interpretation data, activity characteristics of Cretaceous Shahezi Formation synsedimentary faults in Lishu fault depression of southern Songliao Basin were analyzed. The paleogeomorphology was reconstructed based on the impression method, and the controlling role of paleogeomorphology on sedimentary systems were explored. The results show that: (1) The fault activity rate during the deposition of Member 2 of Cretaceous Shahezi Formation in Lishu fault depression was generally higher than that during the deposition of Member 1, showing a trend of first increasing and then decreasing towards the north. (2) During the depositional period of Shahezi Formation, the steep slope zone of Lishu fault depression primarily developed nearshore subaqueous fan and deep-lacustrine sedimentary systems, while the gentle slope zone mainly developed fan delta and shallow-lacustrine sedimentary systems. (3) The paleogeomorphology of the study area controls the distribution of sedimentary facies and sand bodies. Four paleogeomorphic types,such as valleys,transverse uplifts (subaqueous uplifts), strike slopes, and structural slope-break zones,have been identified,all of them exert significant control on sand bodies distribution. Valleys can serve as sand transport pathways, controlling the progression of sand bodies from source areas to depositional areas, and also acting as depositional unloading units. Transverse uplifts developed along the edges of steep slope scarps promote the fan-shaped dispersal of sand bodies into the basin. Strike slopes control the lateral extension of sand bodies, and activity at the terminations of synsedimentary faults governs the pathways of sand diffusion from source areas into the basin. Structural slope-break zones control the transport, migration, and enrichment locations of sand bodies within the basin, which are favorable zones for exploring sandstone oil and gas reservoirs. (4) The depositional period of Shahezi Formation in the study area exhibited a paleogeomorphy sand control model of“multi-source supply—fault-controlled channels—paleogeomorphic sand accumulation”.

Key words: paleogeomorphology, nearshore subaqueous fan, fan delta, fault activity, sand control mechanism, Shahezi Formation, Cretaceous, Lishu fault depression, Songliao Basin

中图分类号: 

  • TE121

图1

松辽盆地梨树断陷构造单元划分(a)及白垩系岩性地层综合柱状图(b)"

图2

梨树断陷NW—NE向构造发育平衡地质剖面(剖面位置见图1a)"

图3

梨树断陷白垩系沙河子组主要控洼断裂活动性"

图4

梨树断陷白垩系沙一段(a)和沙二段(b)现今地层厚度"

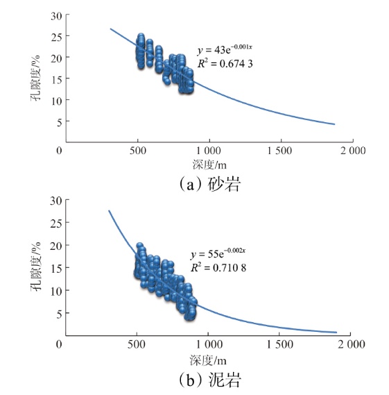
图5

梨树断陷白垩系沙二段孔隙度随深度变化曲线"

表1

梨树断陷白垩系沙二段砂泥岩恢复压实数据"

图6

梨树断陷白垩系各地区沙一段(a)、沙二段(b)压实前厚度的恢复"

图7

梨树断陷白垩系沙一段(a)及沙二段(b)压实前厚度的恢复"

图8

采用地层趋势法恢复梨树断陷白垩系沙二段剥蚀厚度"

图9

梨树断陷白垩系沙一段(a)和沙二段(b)沉积期的古地貌特征"

图10

梨树断陷白垩系沙河子组典型沉积相岩相特征"

图11

梨树断陷白垩系沙河子组沉积体系的地震相特征"

图12

梨树断陷白垩系沙河子组一段(a)和沙河子组二段(b)沉积相分布特征"

表2

梨树断陷桑树台中段及北部斜坡带白垩系沙二段古沟谷及沉积体数据"

沟谷
编号
汇水单元
面积/km2
测线 沟谷
类型
基本参数 沉积物
规模/
km2
输砂能力
宽度/m 深度/m 宽深比
V1 7.81 a U型 1 730 300 5.77 4.04 中等
b V型 1 620 350 4.63 中等
c V型 2 000 400 5.00 中等
V2 9.03 a U型 1 600 220 7.27 5.79 较强
b W型 3 550 219 16.21 较强
c W型 4 348 503 8.64 较强
V3 6.99 a V型 1 678 590 2.84 3.84 较强
b V型 1 530 640 2.39 较强
c V型 1 700 290 5.86
V4 19.14 a V型 2 964 1 270 2.33 6.29 较强
b U型 2 900 1 100 2.63 较强
c V型 1 500 592 2.53 较强
V5 2.54 a U型 1 800 490 3.67 1.27
b U型 1 600 350 4.57 较强
c U型 1 550 280 5.54
V6 d 断槽型 1 340 390 3.44 较强
V7 d 断槽型 880 450 1.96 中等
V8 d 断槽型 903 404 2.24 中等

图13

梨树断陷桑树台断裂西侧白垩系沙河子组沟谷演化特征"

图14

梨树断陷白垩系沙河子组横向凸起发育模式及地震剖面特征"

图15

梨树断陷白垩系沙河子组走向斜坡发育模式及剖面特征"

图16

梨树断陷白垩系沙河子组构造坡折带沉积充填模式"

图17

梨树断陷白垩系沙二段古地貌控砂模式"

[1] 蔡周荣, 殷征欣, 叶军, 等. 珠江口盆地向海阶梯状断裂特征及成因分析[J]. 中国科技论文, 2015, 10(3):322-326.
CAI Zhourong, YIN Zhengxin, YE Jun, et al. Characteristics and formation mechanism of the ladder-like faults towards the sea in Pearl River Mouth Basin[J]. China Sciencepaper, 2015, 10(3):322-326.
[2] 赵文智, 魏国齐, 杨威, 等. 四川盆地万源—达州克拉通内裂陷的发现及勘探意义[J]. 石油勘探与开发, 2017, 44(5):659-669.
doi: 10.11698/PED.2017.05.01
ZHAO Wenzhi, WEI Guoqi, YANG Wei, et al. Discovery of Wanyuan-Dazhou Intracratonic Rift and its exploration significance in the Sichuan Basin,SW China[J]. Petroleum Exploration and Development, 2017, 44(5):659-669.
doi: 10.11698/PED.2017.05.01
[3] 马兵山, 漆家福, 王俊怀, 等. 南海北部珠江口盆地珠一坳陷西江凹陷与陆丰凹陷差异裂陷过程定量分析[J]. 高校地质学报, 2022, 28(5):669-687.
MA Bingshan, QI Jiafu, WANG Junhuai, et al. Quantitative analysis of differential rifting process in the Xijiang and Lufeng Sags of the Zhu 1 Depression,Pearl River Mouth Basin,Northern South China Sea[J]. Geological Journal of China Universities, 2022, 28(5):669-687.
[4] 张翠梅, 刘晓峰, 任建业, 等. “构造-沉积分析”及其在沉积盆地中的应用[J]. 热带海洋学报, 2012, 31(3):128-136.
doi: 10.11978/j.issn.1009-5470.2012.03.017
ZHANG Cuimei, LIU Xiaofeng, REN Jianye, et al. Principle of the “tectono-sedimentary analysis” and its application in sedimentary basins[J]. Journal of Tropical Oceanography, 2012, 31(3):128-136.
doi: 10.11978/j.issn.1009-5470.2012.03.017
[5] 王黎, 王果寿, 邱岐, 等. 松辽盆地梨树断陷深部层系沉积特征及演化分析[J]. 石油实验地质, 2014, 36(3):316-324.
WANG Li, WANG Guoshou, QIU Qi, et al. Sedimentary features and evolution of deep series in Lishu Fault Depression,Songliao Basin[J]. Petroleum Geology & Experiment, 2014, 36(3):316-324.
[6] 赵泽辉, 徐淑娟, 姜晓华, 等. 松辽盆地深层地质结构及致密砂砾岩气勘探[J]. 石油勘探与开发, 2016, 43(1):12-23.
doi: 10.11698/PED.2016.01.02
ZHAO Zehui, XU Shujuan, JIANG Xiaohua, et al. Deep strata geologic structure and tight conglomerate gas exploration in Songliao Basin,East China[J]. Petroleum Exploration and Development, 2016, 43(1):12-23.
doi: 10.11698/PED.2016.01.02
[7] 王宏语, 李瑞磊, 朱建峰, 等. 松辽盆地梨树断陷构造沉积学特征及发育机制[J]. 地学前缘, 2023, 30(4):112-127.
doi: 10.13745/j.esf.sf.2022.10.23
WANG Hongyu, LI Ruilei, ZHU Jianfeng, et al. Tectono-sedi-mentary characteristics and formation mechanism of the Lishu rift depression,Songliao Basin[J]. Earth Science Frontiers, 2023, 30(4):112-127.
doi: 10.13745/j.esf.sf.2022.10.23
[8] 李耀华, 徐兴友, 张君峰, 等. 火山活动期断陷湖盆富有机质混积页岩形成条件:以松辽盆地南部梨树断陷沙河子组富有机质页岩为例[J]. 地球科学, 2022, 47(5):1728-1747.
LI Yaohua, XU Xingyou, ZHANG Junfeng, et al. Hybrid sedimentary conditions of organic-rich shales in faulted lacustrine basin during volcanic eruption episode:A case study of Shahezi Formaton (K1sh Fm.),Lishu Faulted Depression,South Songliao Basin[J]. Earth Science, 2022, 47(5):1728-1747.
[9] 陈永进, 李友. 基于米氏旋回的页岩高频层序划分与页岩有机质富集模式:以松辽盆地梨树断陷北斜坡营城组为例[J]. 石油科学通报, 2024, 9(4):535-548.
CHEN Yongjin, LI You. Division of high-frequency shale sequences and organic matter enrichment patterns in shales based on Milankovitch cycles:A case study of the Yingcheng Formation in the Northern Slope of the Lishu Fault Depression,Songliao Basin[J]. Petroleum Science Bulletin, 2024, 9(4):535-548.
[10] 鄢继华, 陈世悦, 姜在兴. 东营凹陷北部陡坡带近岸水下扇沉积特征[J]. 石油大学学报(自然科学版), 2005, 29(1):12-16.
YAN Jihua, CHEN Shiyue, JANG Zaixing. Sedimentary characteristics of nearshore subaqueous fans in steep slope of Dongying depression[J]. Journal of China University of Petroleum (Edition of Natural Science), 2005, 29(1):12-16.
[11] 白立科, 邱隆伟, 杨勇强, 等. 近岸水下扇微相划分研究及意义初探:以滦平盆地下白垩统西瓜园组为例[J]. 地质学报, 2020, 94(8):2446-2459.
BAI Like, QIU Longwei, YANG Yongqiang, et al. Preliminary microfacies division and significance study of nearshore subaqueous fan:A case study from the Lower Cretaceous Xiguayuan Formation,Luanping Basin[J]. Acta Geologica Sinica, 2020, 94(8):2446-2459.
[12] 曹辉兰, 华仁民, 纪友亮, 等. 扇三角洲砂砾岩储层沉积特征及与储层物性的关系:以罗家油田沙四段砂砾岩体为例[J]. 高校地质学报, 2001, 7(2):222-229.
CAO Huilan, HUA Renmin, JI Youliang, et al. Depositional characteristics of sandstone and conglomerate reservoirs of fan delta and relationship to reservoirs’ physical properties:Taking the Fourth Member of Shahejie Formation,Luojia Oilfield,Zhanhua Depression for an example[J]. Geological Journal of China Universities, 2001, 7(2):222-229.
[13] 刘磊, 钟怡江, 陈洪德, 等. 中国东部箕状断陷湖盆扇三角洲与辫状河三角洲对比研究[J]. 沉积学报, 2015, 33(6):1170-1181.
LIU Lei, ZHONG Yijiang, CHEN Hongde, et al. Contrastive research of fan deltas and braided river deltas in half-graben rift lake basin in east China[J]. Acta Sedimentologica Sinica, 2015, 33(6):1170-1181.
[14] 向立宏, 赵铭海, 郝雪峰, 等. 济阳坳陷东营组沉积体系新认识[J]. 油气地质与采收率, 2016, 23(3):8-13.
XIANG Lihong, ZHAO Minghai, HAO Xuefeng, et al. New understanding on sedimentary system of Dongying Formation in Jiyang depression[J]. Petroleum Geology and Recovery Efficiency, 2016, 23(3):8-13.
[15] 闫迪. 梨树断陷东部斜坡带断裂系统及控藏研究[D]. 大庆: 东北石油大学, 2016.
YAN Di. Study of fault system and its control of hydrocarbon accumulation in the Eastern Slope Zone,Lishu Fault Depression[D]. Daqing: Northeast Petroleum University, 2016.
[16] 武爱俊, 徐建永, 滕彬彬, 等. “动态物源”精细刻画方法与应用:以琼东南盆地崖南凹陷为例[J]. 岩性油气藏, 2017, 29(4):55-63.
WU Aijun, XU Jianyong, TENG Binbin, et al. Fine description method of dynamic provenance and its application:A case from Yanan Sag,Qiongdongnan Basin[J]. Lithologic Reservoirs, 2017, 29(4):55-63.
doi: 10.3969/j.issn.1673-8926.2017.04.007
[17] 李想, 付磊, 魏璞, 等. 沉积古地貌恢复及古地貌对沉积体系的控制作用:以准噶尔盆地石西地区三叠系百口泉组为例[J]. 岩性油气藏, 2025, 37(2): 38-48.
doi: 10.12108/yxyqc.20250204
LI Xiang, FU Lei, WEI Pu, et al. Restoration of sedimentary paleogeography and its control on sedimentary system:A case study of the Triassic Baikouquan Formation in Shixi area of Junggar Basin[J]. Lithologic Reservoirs, 2025, 37(2):38-48.
doi: 10.12108/yxyqc.20250204
[18] LIU Lei, CHEN Hongde, WANG Jun, et al. Geomorphological evolution and sediment dispersal processes in strike-slip and extensional composite basins:A case study in the Liaodong Bay Depression,Bohai Bay Basin,China[J]. Marine and Petroleum Geology, 2019, 110:73-90.
doi: 10.1016/j.marpetgeo.2019.07.023
[19] 叶蕾, 朱筱敏, 谢爽慧, 等. 沉积古地貌基本恢复方法及实例研究:以饶阳凹陷沙一段为例[J]. 古地理学报, 2023, 25(5):1139-1155.
doi: 10.7605/gdlxb.2023.05.077
YE Lei, ZHU Xiaomin, XIE Shuanghui, et al. Restoration methods of sedimentary palaeogeomorphology and applications:A case study of the First Member of Paleogene Shahejie Formation in Raoyang sag[J]. Journal of Palaeogeography (Chinese Edition), 2023, 25(5):1139-1155.
[20] 杨桥, 漆家福. 碎屑岩层的分层去压实校正方法[J]. 石油实验地质, 2003, 25(2):206-210.
YANG Qiao, QI Jiafu. Method of delaminated decompaction correction[J]. Petroleum Geology & Experiment, 2003, 25(2):206-210.
[21] 刘强虎. 渤海湾盆地沙垒田凸起古近系“源—渠—汇”系统耦合研究[D]. 北京: 中国石油大学(北京), 2016.
LIU Qianghu. “Source-to-sink” system coupling analysis of the Paleogene,Shaleitian Uplift,Bohai Bay Basin, China[D]. Beijing: China University of Petroleum (Beijing), 2016.
[22] 杨丽莎, 陈彬滔, 马轮, 等. 陆相湖盆坳陷期源—汇系统的要素特征及耦合关系:以南苏丹Melut盆地北部坳陷新近系Jimidi组为例[J]. 岩性油气藏, 2021, 33(3):27-38.
doi: 10.12108/yxyqc.20210303
YANG Lisha, CHEN Bintao, MA Lun, et al. Element feature and coupling model of source-to-sink system in depression lacustrine basin:A case study of Neogene Jimidi Formation in Melut Basin,South Sudan[J]. Lithologic Reservoirs, 2021, 33(3):27-38.
doi: 10.12108/yxyqc.20210303
[23] MORLEY C K, NELSON R A, PATTON T L, et al. Transfer zones in the east African rift system and their relevance to hydrocarbon exploration in rifts[J]. AAPG Bulletin, 1990, 74(8):1234-1253.
[24] 付晓飞, 孙兵, 王海学, 等. 断层分段生长定量表征及在油气成藏研究中的应用[J]. 中国矿业大学学报, 2015, 44(2):271-281.
FU Xiaofei, SUN Bing, WANG Haixue, et al. Fault segmentation growth quantitative characterization and its application on sag hydrocarbon accumulation research[J]. Journal of China University of Mining & Technology, 2015, 44(2):271-281.
[25] 吴冬, 朱筱敏, 刘常妮, 等. Fula凹陷中央转换带对岩性油藏勘探的意义:以Abu Gabra组为例[J]. 岩性油气藏, 2017, 29(4):64-72.
WU Dong, ZHU Xiaomin, LIU Changni, et al. Significance of central transfer zone on lithologic reservoir exploration:A case of Abu Gabra Formation in Fula Sag,Muglad Basin,Sudan[J]. Lithologic Reservoirs, 2017, 29(4):64-72.
doi: 10.3969/j.issn.1673-8926.2017.04.008
[26] 何雁兵, 肖张波, 郑仰帝, 等. 珠江口盆地陆丰13洼转换带中生界陆丰7-9潜山成藏特征[J]. 岩性油气藏, 2023, 35(3):18-28.
doi: 10.12108/yxyqc.20230302
HE Yanbing, XIAO Zhangbo, ZHENG Yangdi, et al. Hydrocarbon accumulation characteristics of Mesozoic Lufeng 7-9 buried hill in Lufeng 13 subsag transition zone,Pearl River Mouth Basin[J]. Lithologic Reservoirs, 2023, 35(3):18-28.
doi: 10.12108/yxyqc.20230302
[27] 侯宇光, 何生, 王冰洁, 等. 板桥凹陷构造坡折带对层序和沉积体系的控制[J]. 石油学报, 2010, 31(5):754-761.
doi: 10.7623/syxb201005009
HOU Yuguang, HE Sheng, WANG Bingjie, et al. Constraints by tectonic slope-break zones on sequences and depositional systems in the Banqiao Sag[J]. Acta Petrolei Sinica, 2010, 31(5):754-761.
doi: 10.7623/syxb201005009
[28] 冯有良, 胡素云, 李建忠, 等. 准噶尔盆地西北缘同沉积构造坡折对层序建造和岩性油气藏富集带的控制[J]. 岩性油气藏, 2018, 30(4):14-25.
FENG Youliang, HU Suyun, LI Jianzhong, et al. Controls of syndepotitional structural slope-break zones on sequence architecture and enrichment zones of lithologic reservoirs in northwestern margin of Junggar Basin[J]. Lithologic Reservoirs, 2018, 30(4):14-25.
doi: 10.12108/yxyqc.20180402
[1] 户昶昊, 裴家学, 杨雪, 蔡国钢, 范家铭, 李丽. 开鲁盆地奈曼凹陷白垩系义县组天然碱矿地质特征及成矿条件[J]. 岩性油气藏, 2026, 38(1): 1-12.
[2] 孙远锋, 曹爱锋, 周勇, 高晨曦, 王柯. 渤海湾盆地临南洼陷古近系沙四上亚段沉积演化特征及古地貌控砂模式[J]. 岩性油气藏, 2025, 37(6): 119-130.
[3] 王振, 王兴志, 朱逸青, 杨雨然, 杨一茗, 康家豪, 黄柏文, 吕豪. 四川盆地德阳—安岳裂陷槽寒武系筇竹寺组地层划分及勘探意义[J]. 岩性油气藏, 2025, 37(5): 97-110.
[4] 张云峰, 史晓东, 刘宗堡, 杨雪微, 王鸿军, 郝彬. 松辽盆地龙虎泡油田白垩系构造-岩性圈闭类型及成藏主控因素[J]. 岩性油气藏, 2025, 37(5): 111-121.
[5] 叶慧, 朱峰, 王贵重, 石万忠, 康晓宁, 董国宁, 娜孜依曼, 王任. 准噶尔盆地二叠纪—侏罗纪古地貌恢复及其油气地质意义[J]. 岩性油气藏, 2025, 37(5): 122-132.
[6] 刘丽娟, 李军辉, 付秀丽, 白月, 郑强. 松辽盆地北部中央坳陷区白垩系青山口组火山灰特征及其地质意义[J]. 岩性油气藏, 2025, 37(5): 145-154.
[7] 徐思慧, 赵军, 赵新建, 汪峻宇, 李兆平, 林宗鹏. 库车山前克拉苏构造带白垩系亚格列木组致密储层裂缝有效性评价[J]. 岩性油气藏, 2025, 37(5): 155-165.
[8] 邢倩, 李杨凡, 李翔, 万子千, 李雅兰. 川北米仓山地区寒武系仙女洞组碳酸盐岩储集特征及主控因素[J]. 岩性油气藏, 2025, 37(4): 50-62.
[9] 郑欣, 江东辉, 李昆, 庄建建, 张传运, 杨超, 袁忠鹏, 王嘉琪. 断裂-地貌-沉积坡折控砂模式及油气勘探意义——以东海盆地西湖凹陷保俶斜坡带北段为例[J]. 岩性油气藏, 2025, 37(4): 95-104.
[10] 张紫薇, 刘峻桥, 李娇娜, 胡欣蕾, 吴昊, 吕延防, 蒋飞. 松辽盆地南部余字井地区中浅层断裂发育特征及其控藏作用[J]. 岩性油气藏, 2025, 37(4): 105-114.
[11] 王永刚, 杜广宏, 何润, 瞿长, 佘钰蔚, 黄诚. 鄂尔多斯盆地陇东地区下古生界风化壳储层地球物理识别及分布预测[J]. 岩性油气藏, 2025, 37(4): 127-135.
[12] 刘秀美, 辛仁臣, 刘豪. 辽中凹陷南部渐新世东营期古地貌特征及其对沉积体系的控制作用[J]. 岩性油气藏, 2025, 37(4): 159-168.
[13] 户昶昊, 裴家学, 蔡国钢. 开鲁盆地陆东凹陷白垩系九佛堂组油气连续成藏条件[J]. 岩性油气藏, 2025, 37(3): 1-12.
[14] 冉逸轩, 杜长鹏, 张晶晶. 松辽盆地北部葡萄花油田白垩系泉四段源下型致密油成藏条件[J]. 岩性油气藏, 2025, 37(3): 47-58.
[15] 邓高山, 董雪梅, 余海涛, 张洁, 岳喜伟, 任军民, 姜涛. 准噶尔盆地沙湾凹陷三叠系百口泉组油气成藏条件及勘探潜力[J]. 岩性油气藏, 2025, 37(3): 59-72.
Viewed
Full text


Abstract

Cited

  Shared   
  Discussed   
No Suggested Reading articles found!